Betting
Closing Line Value (CLV) applicata alle scommesse sportive: Un indicatore chiave per gli scommettitori
Nel mondo delle scommesse sportive, la ricerca di strategie vincenti e di metodi di valutazione efficaci è una costante. Tra i tanti indicatori utilizzati dagli scommettitori esperti, il Closing Line Value (CLV), ovvero il valore della linea di chiusura, si distingue per la sua efficacia nel misurare la qualità delle previsioni.
Confrontando le quote offerte al momento della scommessa con quelle disponibili poco prima dell'inizio dell'evento, il CLV consente di determinare se uno scommettitore sta effettivamente battendo il mercato. Questo articolo esplora in dettaglio cos'è il CLV, come viene calcolato, i fattori che lo influenzano e come utilizzarlo per migliorare le prestazioni nelle scommesse sportive.
2. Cos'è il Closing Line Value ?
Il Closing Line Value (CLV) è una misura utilizzata per valutare le prestazioni degli scommettitori confrontando le quote a cui viene piazzata una scommessa con le quote di chiusura del mercato. La quota di chiusura è l'ultima quota disponibile prima dell'inizio dell'evento sportivo e riflette tutte le informazioni e le scommesse accumulate fino a quel momento.
L'obiettivo principale del CLV è determinare se uno scommettitore ottiene sistematicamente quote migliori rispetto a quelle del mercato. Un CLV positivo significa che le scommesse sono state piazzate a quote superiori rispetto alla chiusura, suggerendo che lo scommettitore ha una valutazione delle probabilità migliore rispetto al mercato. Al contrario, un CLV negativo indica che le quote ottenute sono inferiori rispetto a quelle di chiusura, il che può indicare un'inefficienza nella strategia di scommessa.
In sintesi, il CLV è un indicatore della capacità di uno scommettitore di identificare opportunità di valore superiore, essenziale per garantire la redditività a lungo termine.
3. Come si calcola il Closing Line Value ?
Il calcolo del Closing Line Value (CLV) si basa su un semplice confronto tra le quote iniziali e le quote di chiusura. Ecco i passaggi dettagliati per eseguire questo calcolo:
Passo 1: Registrare le quote al momento della scommessa
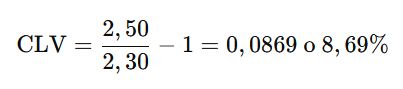
Quando piazzi una scommessa, annota le quote offerte dal bookmaker in quel momento. Ad esempio, se scommetti su una squadra di calcio con una quota di 2,50, prendi nota di questo valore.
Passo 2: Ottenere le quote di chiusura
Poco prima dell'inizio dell'evento sportivo, i bookmaker regolano le quote in base alle nuove informazioni, alle scommesse aggiuntive e alla dinamica del mercato. Queste ultime quote vengono chiamate quote di chiusura. Supponiamo che la quota di chiusura per la tua scommessa precedente sia 2,30.
Passo 3: Confrontare le quote
Confronta le quote a cui hai piazzato la tua scommessa (2,50) con le quote di chiusura (2,30).
Passo 4: Calcolo del CLV
Il CLV può essere espresso in diversi modi, ma il metodo più comune consiste nel determinare se la quota iniziale è superiore o inferiore alla quota di chiusura.
- CLV positivo: Se la tua quota iniziale è superiore alla quota di chiusura (2,50 > 2,30), hai un CLV positivo.
- CLV negativo: Se la tua quota iniziale è inferiore alla quota di chiusura (1,80 < 2,00), hai un CLV negativo.
Formula base del CLV:

In questo caso, con una quota iniziale di 2,50 e una quota di chiusura di 2,30:

Esempio di calcolo
Supponiamo che tu abbia piazzato 100 scommesse e che 60 di esse abbiano un CLV positivo. Ciò indicherebbe una performance superiore al mercato, suggerendo una strategia di scommessa efficace.
Inclusione del margine del bookmaker nel calcolo del CLV
Tuttavia, alcuni matematici e analisti delle scommesse sportive sostengono che il calcolo del Closing Line Value (CLV) non dovrebbe limitarsi a un semplice confronto tra la quota presa e la quota di chiusura, ma dovrebbe anche tenere conto del margine del bookmaker.
Questo approccio più sfumato consente di valutare meglio le prestazioni reali dello scommettitore in funzione dell'efficienza del mercato e dell'influenza del margine (o **overround**) imposto dal bookmaker.

Cos'è il margine del bookmaker ?
Il margine del bookmaker è una commissione incorporata nelle quote offerte. Garantisce che il bookmaker realizzi un profitto indipendentemente dall'esito dell'evento. Questo margine è il motivo per cui le quote offerte sono sempre inferiori alle probabilità reali calcolate per un determinato evento.
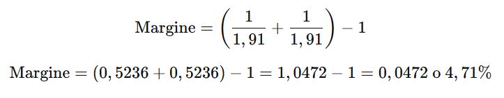
Ad esempio, se due squadre in una partita di calcio hanno la stessa probabilità di vincere (50% ciascuna), la quota giusta, senza margine, sarebbe 2,00 per ciascuna squadra. Tuttavia, a causa del margine, le quote offerte da un bookmaker potrebbero essere 1,91 per ciascuna squadra, al fine di garantire un profitto.
Perché includere il margine nel calcolo del CLV ?
Il margine del bookmaker distorce la percezione delle quote e, quindi, il calcolo bruto del CLV se non viene preso in considerazione. Senza un aggiustamento per questo margine, uno scommettitore potrebbe concludere di avere un CLV positivo quando in realtà sta subendo gli effetti dell'overround che distorce la valutazione delle quote.
Come integrare il margine del bookmaker nel calcolo del CLV ?
Per integrare il margine del bookmaker nel calcolo del CLV, le quote devono essere prima aggiustate per riflettere le probabilità reali dell'evento, senza il margine del bookmaker. Questo processo è chiamato conversione delle quote lorde in quote "reali".
a) Calcolo del margine del bookmaker
Il margine del bookmaker può essere calcolato utilizzando le quote offerte per tutti i possibili risultati di un evento. La formula per calcolare l'**overround** è:

Esempio di calcolo del margine del bookmaker
Prendiamo un esempio in cui le quote offerte sono identiche, a 1,91 per ciascun giocatore in una partita di tennis.

In questo esempio, il margine del bookmaker è 4,71%.
b) Conversione delle quote in probabilità reali
Una volta ottenuto il margine, puoi ricalcolare le quote senza margine, note anche come **quote reali** o **giuste**. La formula per calcolare le quote reali dopo aver eliminato il margine è:

Esempio:
Supponiamo che tu abbia scommesso su una squadra con una quota di 2,50. La quota di chiusura per la stessa scommessa è 2,30. Senza aggiustare per il margine, potresti pensare di avere un CLV positivo poiché la quota presa (2,50) è superiore alla quota di chiusura (2,30).
Tuttavia, se il bookmaker applica un margine del 5%, la quota reale senza margine potrebbe essere più vicina a 2,40 (anziché 2,30). Ciò significa che, sebbene tu abbia una quota leggermente superiore a quella di chiusura, non hai davvero battuto il mercato poiché le quote senza margine sono molto vicine a quelle che hai ottenuto.
L'importanza dell'inclusione del margine
L'inclusione del margine consente di comprendere meglio se lo scommettitore supera effettivamente lo svantaggio strutturale imposto dai bookmaker. Gli scommettitori che riescono a battere il mercato anche dopo aver aggiustato per il margine sono generalmente più performanti a lungo termine, poiché superano non solo le fluttuazioni del mercato, ma anche i vantaggi integrati per il bookmaker.
Limitazioni e precauzioni
Sebbene l'aggiustamento per il margine migliori la precisione del calcolo del CLV, non è sempre facile determinare il margine esatto, soprattutto se un evento presenta più risultati possibili o se diversi bookmaker applicano margini diversi. Inoltre, nei mercati meno liquidi o di nicchia, i margini possono fluttuare in modo significativo, complicando ulteriormente il calcolo.
L'inclusione del margine del bookmaker nel calcolo del Closing Line Value fornisce una valutazione più realistica delle prestazioni di uno scommettitore. Regolando le quote per eliminare l'influenza del margine, puoi determinare se stai davvero battendo il mercato e se la tua strategia è efficace a lungo termine. Sebbene questo calcolo sia più complesso, è uno strumento essenziale per gli scommettitori seri che cercano di ottimizzare il loro approccio e garantire una redditività duratura.
Esempio: CLV nella partita Newcastle vs Tottenham
Il margine del bookmaker per la scommessa Draw No Bet nella partita tra Newcastle e Tottenham, con quote di 1,92 per Newcastle e 2,01 per Tottenham, è di circa 1,83%. Questo indica che il bookmaker include un margine relativamente basso per questo tipo di scommessa in quel momento.
1) Qual è il CLV base per questa scommessa ?
Il Closing Line Value (CLV) si calcola confrontando la quota alla quale è stata piazzata la scommessa (quota iniziale) con la quota di chiusura (quota finale) per la stessa scommessa. In questo caso, poiché le quote di chiusura sono le stesse di quelle al momento della scommessa (1,92 per Newcastle), il CLV base è 0.
Formula base del CLV:

Ciò significa che la quota al momento della scommessa è la stessa della quota di chiusura, quindi non c'è stato alcun cambiamento di valore su questa scommessa in termini di quote. Il CLV base è neutro.
2) Qual è il CLV, incluso il margine, per questa scommessa ?
Per calcolare il CLV aggiustato per il margine del bookmaker, dobbiamo prima aggiustare le quote iniziali e di chiusura per eliminare il margine del bookmaker. Questo ci darà le quote reali o giuste, che useremo poi per confrontare il valore ottenuto con le quote senza margine.
Passaggi per calcolare il CLV aggiustato per il margine:
1. Calcolo delle probabilità implicite per entrambe le quote:
Le probabilità implicite (senza margine) per le quote iniziali e di chiusura vengono calcolate eliminando il margine del bookmaker.

Per le quote di 1,92 per Newcastle (Draw No Bet) e 2,01 per Tottenham (Draw No Bet), otteniamo le seguenti probabilità:

La somma delle probabilità è 0,5208 + 0,4975 = 1,0183, il che include il margine.
2. Rimozione del margine:
Per rimuovere il margine, regoliamo le probabilità dividendole per la somma totale delle probabilità, ottenendo così le probabilità reali:

3. Calcolo delle quote reali senza margine:
Successivamente, convertiamo queste probabilità in quote reali invertendo le probabilità aggiustate:

4. Calcolo del CLV aggiustato per il margine:
Ora che abbiamo le quote reali senza margine, possiamo calcolare il CLV aggiustato per il margine utilizzando la quota iniziale e la quota reale di chiusura (senza margine).

Conclusione
1. Il CLV base è 0%, poiché le quote al momento della scommessa e alla chiusura sono identiche.
2. Il CLV aggiustato per il margine è -1,84%, il che significa che, sebbene le quote lorde siano le stesse, la scommessa mostra una leggera perdita di valore dopo l'aggiustamento per il margine del bookmaker.
4. Quali fattori possono influenzare il Closing Line Value ?
Diversi fattori possono influenzare il Closing Line Value nelle scommesse sportive. Comprendere questi parametri consente di ottimizzare le strategie di scommessa e aumentare le possibilità di successo.
Influencer sui social media con un ampio seguito
Gli influencer sui social media con un ampio pubblico possono influenzare le quote di mercato condividendo le loro previsioni. Quando un influencer popolare consiglia una squadra o un risultato specifico, ciò può portare a un aumento delle scommesse su tale opzione, modificando così le quote di chiusura. Se le quote iniziali offerte dal bookmaker si basano su un'analisi indipendente, senza essere influenzate dalla popolarità dell'influencer, ciò può creare un CLV positivo.
Tipster in mercati a bassa liquidità
I mercati a bassa liquidità sono caratterizzati da un basso volume di scommesse, il che significa che anche piccole puntate possono causare grandi fluttuazioni nelle quote. I tipster che operano in questi mercati possono sfruttare questa inefficienza piazzando scommesse prima che le quote vengano significativamente aggiustate dalle puntate degli altri scommettitori, generando così un CLV favorevole.
Tipster negli sport di nicchia
Gli sport di nicchia o le leghe meno popolari spesso hanno mercati meno monitorati e meno dati disponibili. I tipster specializzati in queste aree possono identificare opportunità in cui le quote sono sottovalutate dai bookmaker, aumentando così il loro CLV. Ad esempio, un tipster esperto di pallamano o eSports può avere una migliore comprensione delle dinamiche specifiche di questi sport, offrendo quote di scommessa più vantaggiose.
Tempismo delle scommesse
Il momento in cui una scommessa viene piazzata rispetto alla chiusura delle quote gioca un ruolo cruciale. Piazzare scommesse presto, prima che nuove informazioni o puntate massicce modifichino le quote, può consentire di ottenere quote più favorevoli. Al contrario, aspettare troppo a lungo può ridurre il CLV a causa degli aggiustamenti delle quote basati sui movimenti di mercato.
Informazioni privilegiate
Gli scommettitori che hanno accesso a informazioni privilegiate o intuizioni non disponibili al pubblico possono anticipare i movimenti delle quote e piazzare scommesse vantaggiose prima che queste informazioni si riflettano nelle quote di chiusura.
Conoscenza approfondita dello sport
Una profonda comprensione delle sfumature di uno sport specifico consente agli scommettitori di rilevare inefficienze nelle quote stabilite dai bookmaker. Gli scommettitori che comprendono meglio le strategie delle squadre, le prestazioni individuali e altre dinamiche interne possono identificare opportunità di valore che altri scommettitori o bookmaker non hanno ancora sfruttato.
5. Come battere regolarmente il Closing Line Value ?
Per battere regolarmente il Closing Line Value, è essenziale adottare un approccio metodico e disciplinato. Ecco alcune strategie chiave:
Ricerca e analisi approfondita
Dedica del tempo all'analisi degli eventi sportivi, esaminando statistiche, tendenze, prestazioni di squadre e giocatori, nonché le condizioni di gioco. Una comprensione approfondita ti consente di
individuare opportunità in cui il mercato non valuta correttamente le quote.
Gestione rigorosa del bankroll
Una gestione efficace del **bankroll** è fondamentale per sopravvivere alla varianza intrinseca nelle scommesse sportive. Definisci unità di puntata adeguate e segui il tuo piano di gestione delle puntate per evitare perdite significative che potrebbero erodere il tuo capitale.
Ricerca del valore (Value Betting)
Cerca sistematicamente scommesse in cui ritieni che le probabilità implicite delle quote siano inferiori alla reale probabilità dell'evento. Ciò significa identificare situazioni in cui le quote offerte offrono un valore superiore alla probabilità reale, aumentando così il CLV.
Tempismo ottimale delle scommesse
Identificare il **momento migliore** per piazzare una scommessa può migliorare il CLV. Scommettere presto, prima che le informazioni chiave o le puntate massive modifichino le quote, può consentirti di ottenere quote più favorevoli.
Utilizzo di più bookmaker
Confronta le quote tra diversi **bookmaker** per trovare le migliori offerte disponibili. Utilizzare più piattaforme di scommesse può massimizzare il valore delle tue scommesse e migliorare il tuo CLV ottenendo sistematicamente le quote più vantaggiose.
Specializzazione
Concentrati su sport, leghe o mercati specifici in cui hai una conoscenza approfondita. La specializzazione ti consente di rilevare inefficienze che altri scommettitori o bookmaker potrebbero trascurare, migliorando così il tuo CLV.
Valutazione continua delle prestazioni
Monitora le tue scommesse e analizza regolarmente il tuo CLV per identificare punti di forza e debolezza nella tua strategia. Regola il tuo approccio in base ai risultati ottenuti per ottimizzare continuamente le tue prestazioni.
Controllo emotivo
Evita che le emozioni influenzino le tue decisioni di scommessa. Rimani obiettivo e segui la tua strategia in modo disciplinato, anche dopo vincite o perdite. La gestione delle emozioni è essenziale per mantenere un CLV positivo a lungo termine.
6. Il Closing Line Value è un indicatore affidabile a lungo termine ?
Il Closing Line Value è ampiamente considerato un indicatore affidabile delle prestazioni di uno scommettitore a lungo termine, per diverse ragioni:
Efficienza del mercato
I mercati delle scommesse sportive, specialmente quelli con alta liquidità, tendono ad essere abbastanza efficienti, il che significa che le quote riflettono tutte le informazioni disponibili. Se uno scommettitore riesce costantemente a ottenere quote superiori a quelle di chiusura, ciò indica che possiede informazioni o analisi superiori al mercato, il che è un segno di competenza.
Indipendenza dalla varianza
Il CLV tiene conto della relazione tra le quote iniziali e quelle di chiusura, riducendo così l'impatto delle fluttuazioni casuali sulle prestazioni. Un CLV positivo indica una tendenza a piazzare scommesse a quote favorevoli, che statisticamente dovrebbe tradursi in redditività a lungo termine.
Correlazione con i profitti
Studi empirici mostrano che un CLV positivo è fortemente correlato alla redditività a lungo termine degli scommettitori. Coloro che ottengono sistematicamente un CLV positivo hanno maggiori probabilità di generare profitti sostenibili, poiché sfruttano inefficienze persistenti nelle quote.
Resilienza ai fattori esterni
Il CLV è meno influenzato da fattori temporanei o specifici di eventi individuali, poiché è aggregato su molte scommesse. Ciò offre una visione d'insieme più affidabile della competenza di uno scommettitore, evitando i pregiudizi legati a eventi isolati.
Limitazioni e precauzioni
Tuttavia, è importante notare che il CLV non è una garanzia assoluta di successo. Deve essere utilizzato in combinazione con altre misure di prestazione, come il ritorno sull'investimento (ROI), il tasso di successo delle scommesse e un'analisi qualitativa delle strategie di scommessa. Inoltre, l'affidabilità del CLV dipende dalla precisione dei dati di chiusura e dalla coerenza metodologica nel suo calcolo.
In sintesi, sebbene il CLV sia un indicatore potente e affidabile a lungo termine, deve essere integrato in un approccio globale di analisi e gestione delle scommesse sportive.
7. Conclusione
Il Closing Line Value è uno strumento prezioso per gli scommettitori sportivi che desiderano valutare e migliorare le loro prestazioni in modo oggettivo e sistematico. Confrontando le quote iniziali con le quote di chiusura, il CLV consente di misurare la capacità di uno scommettitore di identificare opportunità di valore superiore, essenziali per garantire la redditività a lungo termine.
Per massimizzare il CLV, è fondamentale adottare un approccio disciplinato, combinando un'analisi approfondita, una gestione rigorosa del bankroll e una ricerca costante di valore nelle scommesse. Inoltre, comprendere i parametri che influenzano il CLV, come gli influencer sui social media, i mercati a bassa liquidità e gli sport di nicchia, consente di sfruttare meglio le inefficienze del mercato.
Infine, sebbene il CLV sia un indicatore affidabile, deve essere utilizzato insieme ad altre misure di prestazione per ottenere una visione completa delle capacità di scommessa. Integrando il CLV in una strategia globale e mantenendo la disciplina, gli scommettitori possono aumentare le loro possibilità di successo e raggiungere una redditività sostenibile nelle scommesse sportive.
Mercoledì 11 settembre 2024
Nella stessa categoria
Betting
Perché Bet2invest è diventato il punto di riferimento nelle previsioni delle partite di calcio
Giovedì 20 novembre 2025
La richiesta di previsioni delle partite di calcio affidabili non è mai stata così elevata. Oggi milioni di scommettitori cercano ogni giorno analisi serie, dati precisi e consigli professionali per prendere decisioni di gioco più consapevoli. L’epoca in ...
Visualizzare l'articoloBetting
Scommetti in modo più intelligente: l’auto-betting B2I approvato da Pinnacle, spiegato
Giovedì 13 novembre 2025
L’auto-betting, o copy-betting, è un’innovazione importante che sta rivoluzionando il modo di seguire i tipster: i pronostici dei tuoi tipster vengono piazzati automaticamente in meno di un secondo, senza alcuna azione manuale. Su Bet2Invest abbiamo svilu...
Visualizzare l'articoloBetting
La Data Science migliora davvero la precisione delle scommesse sul calcio?
Martedì 11 novembre 2025
Negli ultimi anni, la data science ha rivoluzionato il modo in cui viviamo e analizziamo lo sport. Nel calcio, in particolare, l’uso dell’intelligenza artificiale (IA), dei big data e dei modelli predittivi ha cambiato radicalmente la strategia dei club, ...
Visualizzare l'articoloBet2Invest non è un bookmaker e non offre servizi di scommesse sportive. Tuttavia, i suoi contenuti sono legati alle attività di scommesse sportive.
Il gioco d’azzardo è severamente vietato ai minori. Gioca responsabilmente — il gioco eccessivo può causare perdite finanziarie, debiti o dipendenza.